Optimalisatie: Differentiëren
Raaklijnen
Zoals we eerder gezien hebben geeft de afgeleide functie in elk punt de richtingscoëfficiënt van een raaklijn. We zullen nu nog wat dieper ingaan op de raaklijn, omdat deze in allerlei situaties handig kan zijn, bijvoorbeeld om antwoorden te benaderen bij moeilijk te berekenen functies.
Als #f# een grafiek is van een functie in het platte vlak en #P# een punt is op die grafiek, dan heet een lijn #l# door #P# een raaklijn aan #f# als
- #P# het enige punt is dat #f# en #l# gemeen hebben in een kleine omgeving van #P#, en
- de punten van #l# in de buurt van #P# allemaal aan dezelfde kant van #f# liggen.
In eenvoudig Nederlands: de lijn #l# en de grafiek van #f# gaan allebei door #P# maar kruisen elkaar niet in de buurt van #P#.
Hieronder zien we dat de raaklijn in punt #P# op een kleine omgeving van dat punt de beste lineaire benadering van die functie is.
Beste lineaire benaderingLaat #f# een differentieerbare functie op een open interval zijn dat het getal #p# bevat. De raaklijn aan de grafiek van #f# in #P = \rv{p,f(p)}# is de lijn die #f# het best benadert in de buurt van #P#. In plaats van de raaklijn aan de grafiek van #f# in #P# spreken we ook van de raaklijn aan #f# in #p#.
De gegevens dat de raaklijn #l# door #\rv{p,f(p)}# gaat en richtingscoëfficiënt #f'(p)# heeft, zijn voldoende om een vergelijking voor de lijn op te stellen:
\[ y= f(p)+f'(p)\cdot(x-p)\]
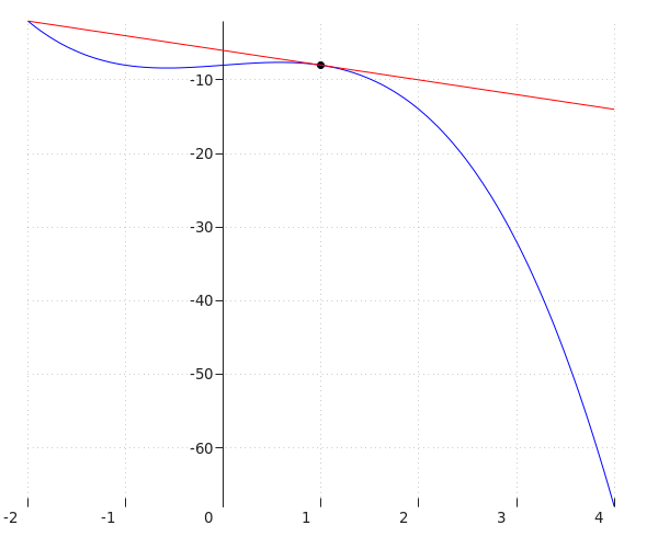
We schrijven de vergelijking voor de raaklijn aan #P# als #y=ax+b#, waarbij #a# en #b# nog te bepalen reële getallen zijn. Omdat #a# de richtingscoëfficiënt van de raaklijn is, geldt #f'(p) = a#. Volgens de Afgeleide van een veeltermfunctie is de afgeleide van #f# gegeven door #f'(x) =-3 x^2 +1#. Hieruit volgt: #a=f'(1)=-3\cdot(1)^2+1=-2#.
We bepalen nu de waarde van #b# in de vergelijking #y=-2 x+b# van de raaklijn. Omdat het punt #[1,-8]# op de raaklijn ligt, moet #-8=-2\cdot (1) + b# gelden. Dit is een lineaire vergelijking met één onbekende (namelijk #b#) die we eenvoudig kunnen oplossen door herleiding. Hieruit volgt #b=-6#.
Onderstaande figuur toont de grafiek van de functie #f(x)=-x^3+x-8# en de raaklijn door het punt #\rv{1,-8}#.

omptest.org als je een OMPT examen moet maken.